首页 > 新闻中心 > 国内 > 正文

今年前8个月邮政业务收入6796.8亿元 同比增长12.2%

2020-09-12 14:53:00 来源:人民网 大字体 小字体 扫码带走
打印

  今日,记者从国家邮政局获悉,今年1-8月,邮政行业业务收入(不包括邮政储蓄银行直接营业收入)累计完成6796.8亿元,同比增长12.2%;业务总量累计完成12307.6亿元,同比增长25.2%。

  8月份,全行业业务收入完成887.3亿元,同比增长14.8%;业务总量完成1809.8亿元,同比增长34.1%。

  1-8月,邮政服务业务总量累计完成1824.6亿元,同比增长16.3%;邮政寄递服务业务量累计完成168.9亿件,同比增长5.5%;邮政寄递服务业务收入累计完成272.5亿元,与去年同期基本持平。

  8月份,邮政服务业务总量完成210.7亿元,同比增长8.5%;邮政寄递服务业务量完成20.6亿件,同比增长0.7%;邮政寄递服务业务收入完成27.5亿元,同比下降14.1%。

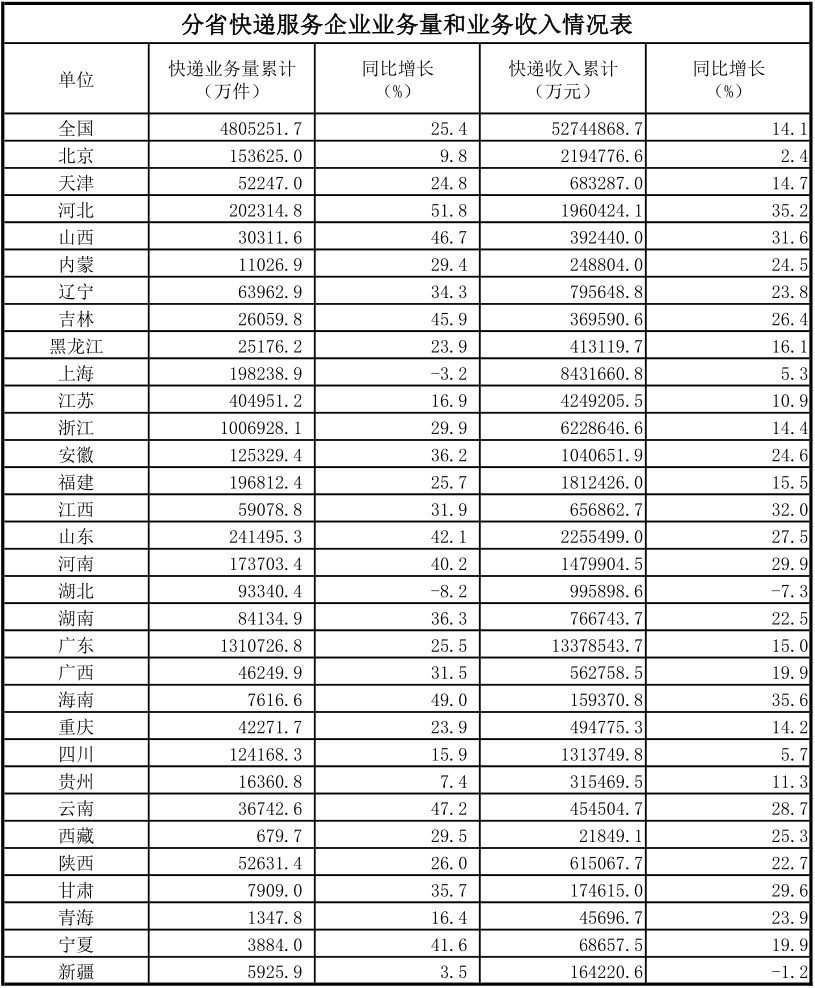
  1-8月,全国快递服务企业业务量累计完成480.5亿件,同比增长25.4%;业务收入累计完成5274.5亿元,同比增长14.1%。其中,同城业务量累计完成77.4亿件,同比增长12.3%;异地业务量累计完成392.2亿件,同比增长28.4%;国际/港澳台业务量累计完成10.9亿件,同比增长24.5%。

  8月份,全国快递服务企业业务量完成72.4亿件,同比增长36.5%;业务收入完成727.4亿元,同比增长17.9%。

   

  1-8月,同城、异地、国际/港澳台快递业务量分别占全部快递业务量的16.1%、81.6%和2.3%;业务收入分别占全部快递收入的9.3%、51.2%和12.2%。与去年同期相比,同城快递业务量的比重下降1.9个百分点,异地快递业务量的比重上升1.9个百分点,国际/港澳台业务量比重基本持平。

   

  1-8月,东、中、西部地区快递业务量比重分别为79.9%、12.8%和7.3%,业务收入比重分别为79.9%、11.6%和8.5%。与去年同期相比,东部地区快递业务量比重下降0.1个百分点,快递业务收入比重下降0.6个百分点;中部地区快递业务量比重上升0.2个百分点,快递业务收入比重上升0.5个百分点;西部地区快递业务量比重下降0.1个百分点,快递业务收入比重上升0.1个百分点。

   

  1-8月,快递与包裹服务品牌集中度指数CR8为83.2,较1-7月下降0.4。

   

   

   

   

  1-8月,快递与包裹服务品牌集中度指数CR8为83.2,较1-7月下降0.4。

责任编辑:王丽雪